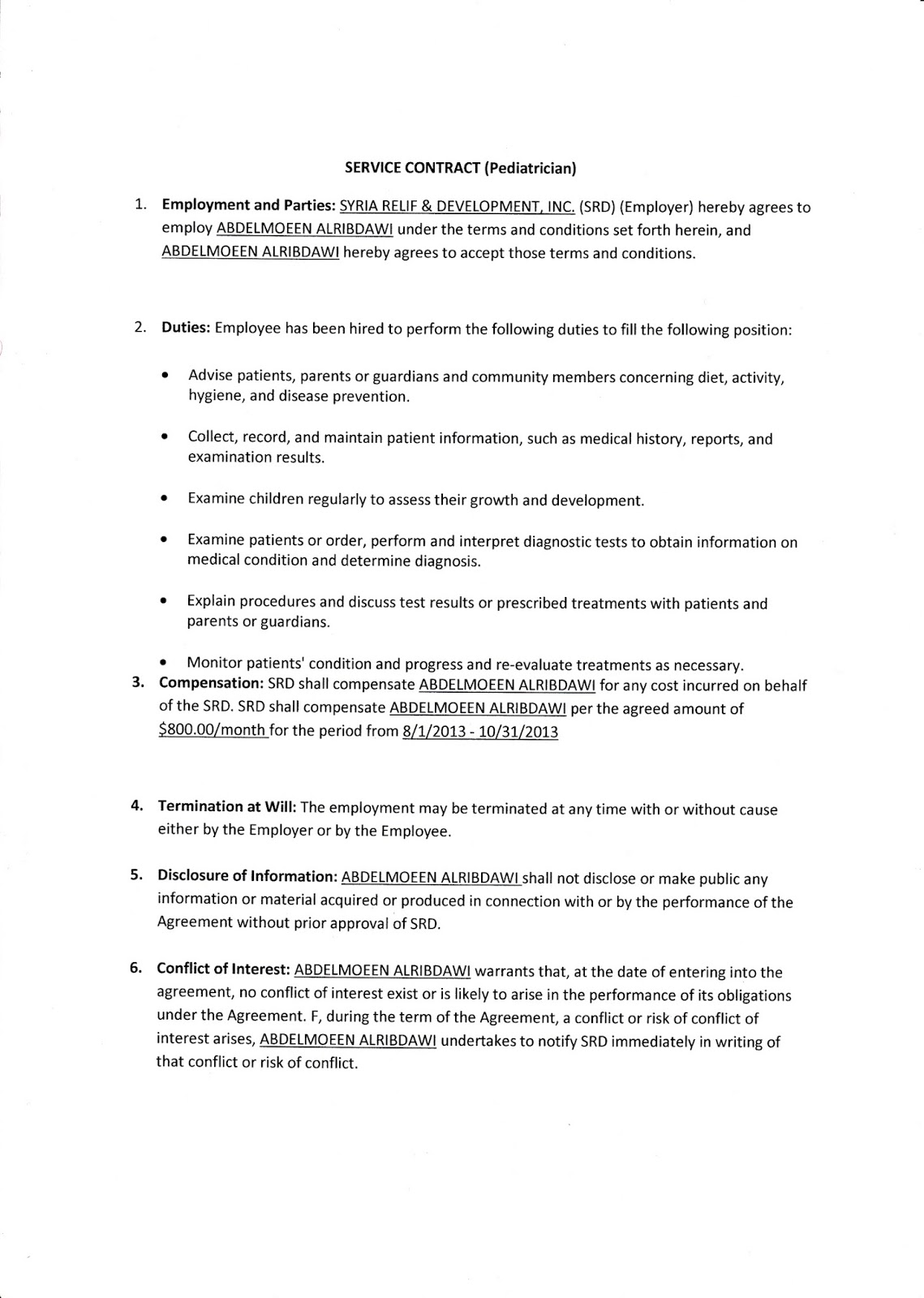
سندات قبض تم التوقيع عليهم وأحداهم سجلت كمكافئة ليتم التغاضي عن مبالغهم للمهندس خلدون من قبل ادارة Syria Relief & Development د."سري بكار" مع بعض الوثائق .
مزرعة الأسد ومزارع المعارضة السورية وجهان لعملة واحدة على سحق المجتمع السوري ومص دمائه عبر سياسة ’’كن أو لا تكون’’ ، فالجهتان يرعبهما الإعلام المستقل وتحديداََ قسم الفضائح والتحقيقات الصحفية وهذا ما افتقره شعبنا ضمن المؤسسات ’’دكاكين الشاورما’’ الإعلامية كونه كل دكانة اعلامية تتبع لجهة داعمة لها سياستها الدولية والادارة القائمة هدفها الوحيد المدخول الشهري ضاربين حقوق الشعب السوري عرض الحائط في زمن الشهداء مجرد أرقام والجرحى فيتامين C لمزارع المعارضة السورية لإنتاج الأعلاف والبرسيم لكوادرهم المأجورة ، هنا يقع العاتق على الشريحة المستقلة ولكن كل مايحتاجه فقط قليلاََ من الجرأة وشيءََ من الإرتجال وجزءاََ من وقتك لتعرية تلك المزارع الربحية القائمة على الوقود البشري ’’دماء الشعب السوري’’ لمواجهة المزارع السورية كونه كل مزرعة يتوفر لديها دوماََ كلاباََ بوليسيةََ لحراسة الأبواب ظانين أنفسهم تلك السياسة باتت تجدي نفعاََ بعد اندلاع الثورة ، لكن القليل وهم نوادر من حافظ على نسيجه بعيداََ عن تلك المزارع بحيث لاأحد يجرؤ على طي ذراعه في أي وقت وأي زمان ضمن دولة تتسم بالحماية القانونية بعيداََ عن ساحات قطاع الطرق وضباع الغابات .
من هنا أُكمِلُ لكم ملف جمعية Syria Relief & Development وهي احدى المزارع التي ترتع على دماء السوريين باداراتهم التجارية وهو ليس بجديد ولكن وجب طرحه مرة أخرى حينما نرى بعض الطفيليات بدأت تخرج من يرقاناتها ضمن حقل انتاج الباكتيريا السياسية الطفيلية بمخلفاتها الإجتماعية .
قُدِّمَت رسالةٌ سابقةٌ من قبل م".خلدون" الى د."نصر موسى الحريري" حينما كان الأمين العام للإئتلاف السوري والذي ينحدر من نفس المنطقة التابع لها ’’درعا’’ بحضور معاونه البيطري د."محمد قداح" من المدينة ذاتها مفادها .
" لماذا قدمتم المساعدة للحرامي د."سري بكار" للهروب الى ألمانيا من خلال التغطية على سرقاته ولفلفتها بإسم ’’جمعية سوريا للإغاثة والتنمية Syria Relief & Development الذي كان د."سري بكار" مديرها سابقاََ ؟ مع العلم بأننا أطلعناك على مساعديه في السرقات بالأدلة المادية ، وبعدها بيومين بدأتم بالعمل على لفلفة موضوع السرقات من خلال احراج د."يوسف بركات" للمصالحة مع حرامي الإغاثة الطبية د."سري بكار" لأن د."يوسف بركات" كان يملك النصف الآخر من الأدلة المادية ، وكان قائماََ بحملة لكشف سرقات د."سري بكار" وأنتم الذين أغلقتم التحقيق ولفلفتم القضية المبنية على سرقات د."سري بكار" لمخصصات المشفى الميداني بمنطقة ’’الغارية الشرقية’’ التابعة لمدينة ’’درعا’’ بالتعاون مع رئيس الجمعية في أمريكا د."جهاد قدور" وشريكهم الحرامي "عمران الحمصي" مندوب ’’شركة رنيم’’ للتجهيزات الطبية بمدينة ’’درعا’’ والزئبقي ’’زياد أبا زيد’’ ؟" لتكون النتيجة التمييع والتغاضي والتجاهل لاماتت القضية كما اعتاد الشعب السوري ضمن سياسة الأسد السابقة وعلى مايبدو مزارع المعارضة السورية مهمتها كانت تشعيب سياسة الأسد مقابل سلطة ومال متغذيين على دماء الشعب السوري .
هنا نسترجع المثل القائل ’’ياللي بيساعد الحرامي حرامي’’
سندات قبض تم التوقيع عليهم وأحداهم سجلت كمكافئة ليتم التغاضي عن مبالغهم للمهندس خلدون من قبل ادارة Syria Relief & Development د."سري بكار" مع بعض الوثائق .
بالإضافة الى ذلك ضمن شهر 6-2013 تم الموافقة على إنشاء مشفى مركزي ضمن حوران في المنطقة الجنوبية (والهدف انساني لخدمة الناس بسواعد وجهود الكوادر الطبية) ، بعد النقاش مع أطباء الداخل أحدهم رفض التعامل مع هذه الجمعية لأسبابه الشخصية حينها كان عقبة في تنفيذ المشروع ، فلم يجد د."سري بكار" من حل إلا أن طلب من الأطباء التخلص وتصفية ذاك الطبيب بحجة (الحب والرغبة منه لتقديم عمل الخير لأهل حوران) وذلك بتخليصهم من أحد الأطباء الذي يُعتَبَر بنية أساسية في مشروعه .
هنا نسي د."سري بكار" بأن ذاك الطبيب هو زميلٌ للأطباء واعتقد أن جميع الأطباء مثله يبيع ضميره وانسانيته لتنفيذ مشاريع ربحية بقناع إنساني .
مواضيع ذات صلة :
1- من صحيفة مصدر إلى الطبيب نصر الحريري .. د. عوض السليمان (اضغط هنا)
2- مفاجأة مدوية حول التقرير الطبي لمقتل الطفل "حمزة الخطيب" ربيع العام 2011 (اضغط هنا)
3- الشهداء أرقاماََ والجرحى فيتاميناََ تتغذى عليهم ادارة المنظمات ومخلفاتهم بعد رفع الإحصائيات لمركز المعلوماتية لدى الغرب . (ضغط هنا)
4- بالفيديو - طرد وفد الإئتلاف شمال سوريا ومنعه من الدخول الى اعزاز والمخيمات . (اضغط هنا)
5- رواتب في مهب الريح لكوادر منظمة Syria Relief & Development في الجنوب السوري عام 2013 لثلاثة أشهر . (اضغط هنا)
كل الشكر لكم زملائي الأحرار
00905392008361
19/2/2018
Skype : mohammad.baraa14




























